364 阅读 2020-09-17 09:34:03 上传
以下文章来源于 计算语言学
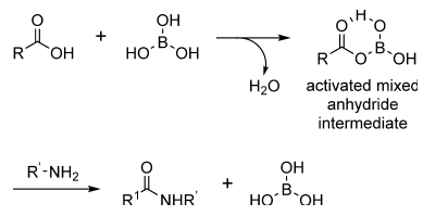
◆The use of boron derivatives in acid/amine coupling is widely documented.
These catalysts are often only required on a low catalyst loading making
them attractive on an industrial scale. They are also cheap and readily
available; however, there can be issues with product separation

◆After reaction completion, the water-soluble reagent can be extracted into an aqueous workup. Drawbacks of boric acid are reproductive toxicity at high doses and that the European Chemical Agency may include it on the list of high concern substances which would restrict its use in Europe.

Amide Coupling via Boron Reagent: a Case Study
Direct Synthesis of Amides Using B(OCH2CF3)3









